Basics of Sequential Circuits, Types & Their Working

A Sequential logic circuit is a form of the binary circuit; its design employs one or more inputs and one or more outputs, whose states are related to some definite rules that depend on previous states. Both the inputs and outputs can reach either of the two states: logic 0 (low) or logic 1 (high). In these circuits, their output depends not only on the combination of the logic states at its inputs but moreover on the logic states that existed previously. In other words, their output depends on a SEQUENCE of the events occurring at the circuit inputs. Examples of such circuits include clocks, flip-flops, bi-stables, counters, memories, and registers. The actions of the sequential circuits depend on the range of basic sub-circuits.


What is a Sequential Logic Circuit?

A sequential circuit is a logical circuit, where the output depends on the present value of the input signal as well as the sequence of past inputs. While a combinational circuit is a function of present input only. A sequential circuit is a combination of a combinational circuit and a storage element. the sequential circuits use current input variables and previous input variables which are stored and provide the data to the circuit on the next clock cycle.

Design Procedure of Sequential Logic Circuits

  1. This procedure involves the following steps
  2. First, derive the state diagram
  3. Take as the state table or an equivalence representation, such as a state diagram.
  4. The number of states may be reduced by the state reduction technique
  5. Verify the number of flip-flops needed
  6. Choose the type of flip-flops to be used
  7. Derive excitation equations
  8. Using the map or some other simplification method, derive the output function and the flip-flop input functions.
  9. Draw a logic diagram or a list of Boolean functions from which a logic diagram can be obtained.

Categories of Sequential Logic Circuits

Sequential logic circuits are divided into three categories like following.

  • Event-Driven
  • Clock Driven
  • Pulse Driven

Event-Driven: Asynchronous circuits that can change the state immediately when enabled. Asynchronous (fundamental mode) sequential circuit: The behavior is dependent on the arrangement of the input signal that changes continuously over time, and the output can be changed at any time (clockless).

Clock Driven: Synchronous circuits that are synchronized to a specific clock signal. Synchronous (latch mode) sequential circuit: The behavior can be defined from the knowledge of circuits that achieve synchronization by using a timing signal called the clock.

Pulse Driven: This is a mixture of the two that responds to the triggering pulses.

Types of Sequential Circuits

The sequential circuits are classified into two types

  • Synchronous Circuit
  • Asynchronous Circuit

In synchronous sequential circuits, the state of the device changes at discrete times in response to a clock signal. In asynchronous circuits, the state of the device changes in response to changing inputs.

Synchronous Circuits

In synchronous circuits, the inputs are pulses with certain restrictions on pulse width and propagation delay. Thus synchronous circuits can be divided into clocked and un-clocked or pulsed sequential circuits.

Synchronous Circuit
Synchronous Circuit

Clocked Sequential Circuit

The clocked sequential circuits have flip-flops or gated latches for its memory elements. There is a periodic clock connected to the clock inputs of all the memory elements of the circuit to synchronize all the internal changes of state. Hence the operation of the circuit is controlled and synchronized by the periodic pulse of the clock.

Cocked Sequential
Cocked Sequential

Unclocked Sequential Circuit

An unclocked sequential circuit requires two consecutive transitions between 0 and 1 to alternate the state of the circuit. An unclocked mode circuit is designed to respond to pulses of certain durations which do not affect the circuit’s behavior.

UnClocked Sequential
UnClocked Sequential

The synchronous logic circuit is very simple. The logic gates which perform the operations on the data, require a finite amount of time to respond to the changes in the input.

Asynchronous Circuits

An asynchronous circuit does not have a clock signal to synchronize its internal changes of the state. Hence the state change occurs in direct response to changes that occur in primary input lines. An asynchronous circuit does not require precise timing control from flip-flops.

Asynchronous Circuit
Asynchronous Circuit

Asynchronous logic is more difficult to design and it has some problems compared to synchronous logic. The main problem is that the digital memory is sensitive to the order that their input signals arrive them, like, if two signals arrive at a flip-flop at the same time, which state the circuit goes into can depend on which signal gets to the logic gate first.

Asynchronous circuits are used in critical parts of synchronous systems where the speed of the system is a priority, like in microprocessors and digital signal processing circuits.

Flip Flop Circuit

A flip-flop is a sequential circuit that samples the input and changes the output at a particular instance of time. It has two stable states and can be used to store state information. Signals are applied to one or more control inputs to change the state of the circuit and will have one or two outputs.

It is the basic storage element in sequential logic and fundamental building blocks of digital electronic systems. They can be used to keep a record of the value of a variable. Flip-flop is also used to control the functionality of a circuit.

RS Flip Flop

The R-S flip-flop is the simplest flip-flop. It has two outputs, one output is the reverse of the other, and two inputs. The two inputs are Set and Reset. The flip-flop basically uses NAND gates with an additional enable pin. The circuit gives output only when the enable pin is high.

Block Diagram

SR Flip Flop Block Diagram
SR Flip Flop Block Diagram

Circuit Diagram

SR Flip Flop Circuit Diagram
SR Flip Flop Circuit Diagram

SR Flip Flop Truth Table

SR Flip Flop Truth Table
SR Flip Flop Truth Table

JK Flip Flop

JK flip-flop is one of the important flip-flops. If the J and K inputs are one and when the clock is applied, the output changes regardless of past conditions. If the J and K inputs are 0 and when the clock is applied, there will be no change in the output. There is no indeterminate condition in the JK flip-flop.

Circuit Diagram

JK Flip Flop Circuit
JK Flip Flop Circuit

JK Flip Flop Truth Table

JK Flip Flop Truth Table
JK Flip Flop Truth Table

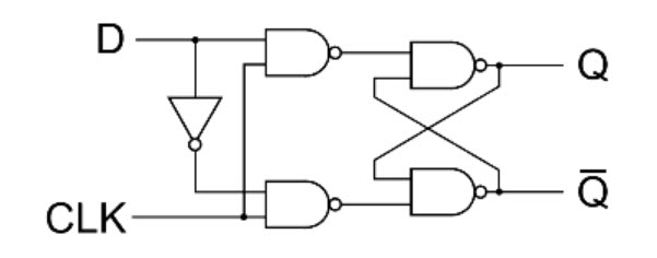
D Flip Flop

D flip-flop has a single data line and a clock input. The D flip-flop is the simplification of an SR flip-flop. The input of the D flip-flop goes directly to the input S and the compliment goes to input R. D input is sampled throughout the clock pulse.

Circuit Diagram

D flip flop Circuit
D flip flop Circuit

D flip flop Truth Table

D flip flop Truth Table
D flip flop Truth Table

T Flip Flop

It is a method of avoiding indeterminate state found in the process of an RS flip-flop. It is to provide only one input, i.e. T input. This flip-flop acts as a Toggle switch. Toggle means to change to another state. T flip-flop is designed from clocked RS flip-flop.

Circuit Diagram

T Flip Flop Circuit
T Flip Flop Circuit

T Flip Flop Truth Table

T Flip Flop Truth Table
T Flip Flop Truth Table

Electronic Oscillator

An electronic oscillator is an electronic circuit that produces periodic, oscillating signals. An oscillator converts direct current from a power supply to an alternating current signal.

Electronic Oscillator
Electronic Oscillator

An oscillator is an amplifier that provides feedback with an input signal. It is a non-rotating device to produce alternating current. Enough power must be fed back to the input circuit for the oscillator to drive itself. The feedback signal in the oscillator is regenerative.

Electronic oscillators are classified into two categories

  • Sinusoidal or Harmonic Oscillator
  • Non-sinusoidal or Relaxation Oscillator

Sinusoidal or Harmonic Oscillator

The oscillators that give output as a sine wave are called sinusoidal oscillators. These oscillators can provide the output at frequencies ranging from 20Hz to GHz. Depending on the material or components used in the oscillator, Sinusoidal oscillators are further classified into four types

  • Tuned Circuit Oscillator
  • RC Oscillator
  • Crystal Oscillator
  • Negative Resistance Oscillator

Non-Sinusoidal or Relaxation Oscillator

Non-sinusoidal oscillators provide output in the form of a square, rectangular or sawtooth waveform. These oscillators can provide an output at frequencies ranging from 0 to 20MHz.

Examples of Sequential Logic Circuits

The examples of sequential logic circuits are discussed below.

Clocks

State changes of most sequential circuits occur at times specified by free-running clock signals. As the name implies, sequential logic circuits require a means by which events can be sequenced.

Clock Sequential Circuit
Clock Sequential Circuit

The state changes are controlled by the clocks. A “clock” is a special circuit that sends pulses with accurate pulse width and an accurate interval between consecutive pulses. The interval between consecutive pulses is called the clock cycle time. The Clock speed is normally measured in Megahertz or Gigahertz.

Flip-Flops

The basic building block of the combinational circuit has logic gates, while indeed the basic building block of a sequential circuit is a flip-flop. Flip-flop has a better and greater usage in shift register, counters and memory devices. It is a storage device capable of storing one bit of data. Flip flop has two inputs and two outputs labeled as Q and Q’. It is normal and complements.

Flip Flops
Flip Flops

Bi-Stables

In most cases, the bi-stables are indicated by a box or circle. Lines in or around bi-stables not only mark them as bi-stables but also indicate how they function. Bi-stables are of two types latch and flip flop. The bi-stables have two stable states one is SET and the other one is RESET. They can retain either of these stages indefinitely, which makes them useful for storage purposes. Latches and flip-flops are different in the way they change from one state to another.

Bistable input and output waveforms
Bi-stable input and output Waveforms

Counters

A counter is a register that goes throughout a predetermined sequence of states upon the application of clock pulses. From another viewpoint, a counter is some sort of sequential circuit whose state diagram is a single cycle. In other words, counters are a particular case of a finite state machine. The output is generally a  state value.

Basic Counter Circuit
Basic Counter Circuit

There are two types of counters: Asynchronous counters (Ripple counter) and the other one is Synchronous counters. The asynchronous counter is the clock signal (CLK), which is simply used to clock the first FF.  Each FF (except the first FF) is clocked by the preceding FF. The synchronous counter is the clock signal (CLK) that is functional to all FF, which means that all FF shares the same clock signal.  Thus, the output changes at the same time.

Registers

Registers are clocked sequential circuits. A register is a collection of flip-flops; each flip-flop is capable of storing one bit of information. An n-bit register consists of n flip-flops and is capable of storing n bits of information. Besides flip-flops, a register usually contains a combinational logic to perform some simple tasks. The flip-flops hold binary information. The gates to determine how the information is shifted into the register. Counters are a special type of register. A counter goes through a predetermined sequence of states.

Register Circuit
Register Circuit

Memories

Memory elements can be anything that creates a past value available at some future time-devices that can behold a binary value. Memory elements are typically flip-flops. Memory output which is considered as a circuit’s “current state” is a numerical label. The state embodies all the information about the past needed to define the current output.

Differences between the Combinational and Sequential Logic Circuits

The difference between the combinational and sequential logic circuits is listed below.

Combinational circuits Sequential circuits
The circuit whose output, at any immediate time, depends only on the input present at that instant only is known as a combinational circuit. The circuit whose output at any immediate time depends not only on the input present but also on the past output,  is known as sequential circuit
These types of circuits have no memory unit. These types of circuits have a memory unit to store the past output.
It is Faster. It is Slower.
These are easy to design. These are difficult to design.
Examples of combinational circuits are a half adder, full adder, magnitude comparator, multiplexer, demultiplexer, etc. Examples of sequential circuits are flip-flop, register, counter, clocks, etc.

Applications

The major applications of a Sequential Logic Circuits are,

  • As a counter, shift register, flip-flops.
  • Used to build the memory unit.
  • As programmable devices (PLDs, FPGA, CPLDs)

This is all about an overview of the sequential logic circuits. The sequential circuits are the circuits, where the immediate value of outputs depends on the immediate values of inputs and also on states they were in previously. They contain memory blocks for storing the previous state of the circuit.

Furthermore, any queries regarding this article or any help in implementing electrical and electronics projects, you can approach us by commenting in the comment section below. Here is a question for you, What is meant by sequential circuits?